Skip to content
diGega
Search
K
Main Navigation
Home
Elementary Calculus
GitHub
Appearance
GitHub
Menu
Return to top
On this page
Table of Contents for current page
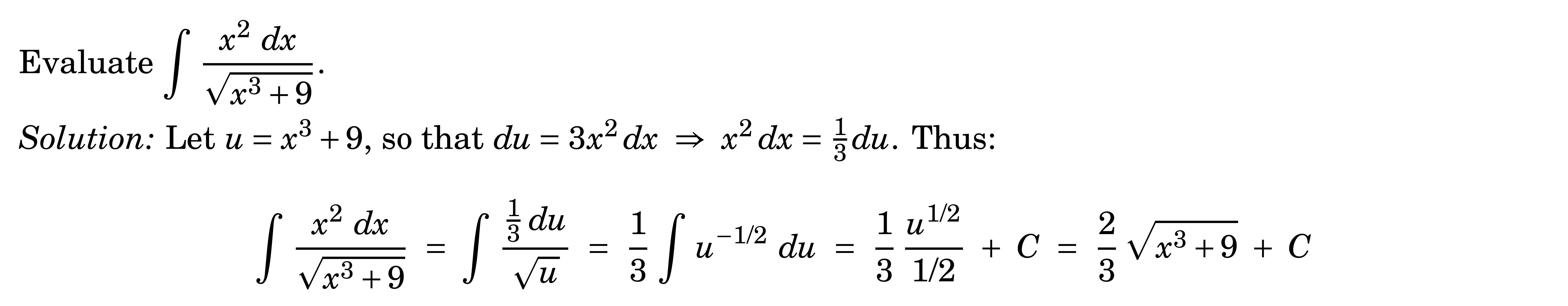
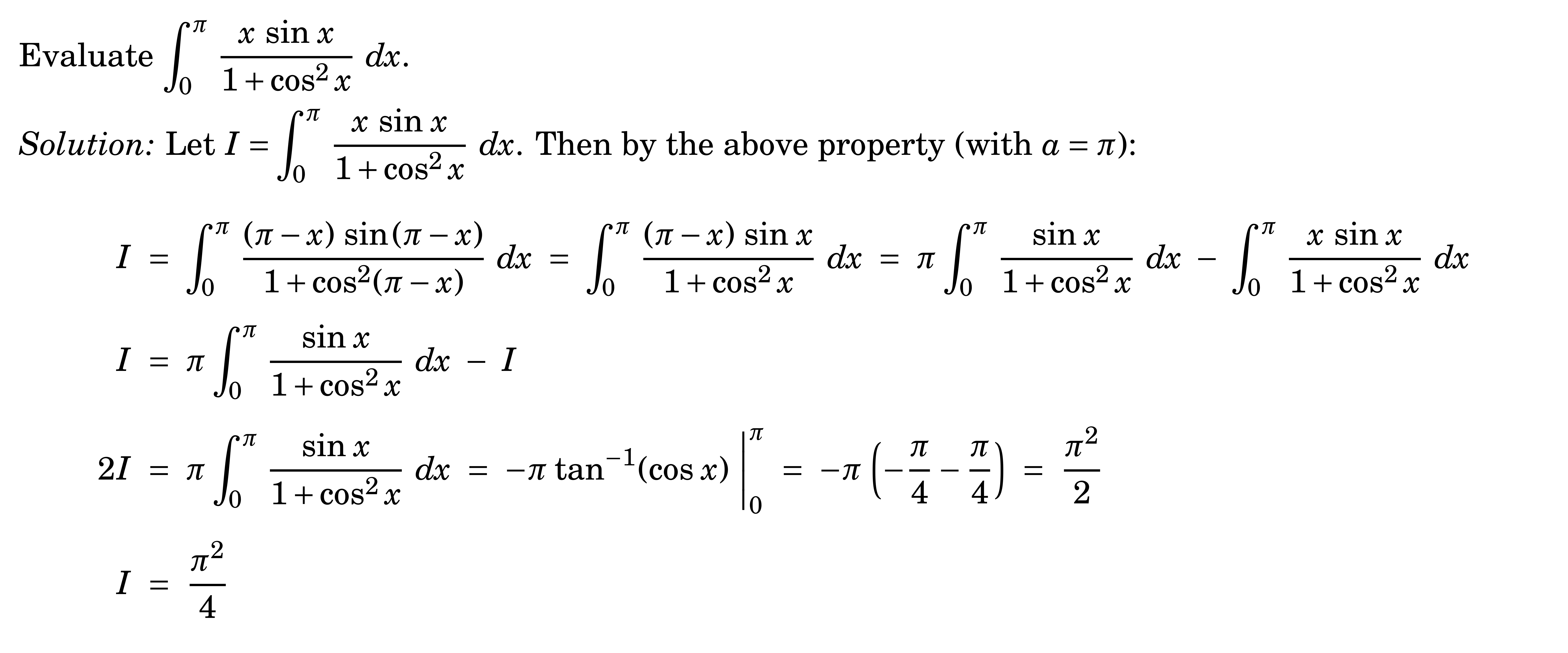
Integration by Substitution